
- Punkt 1 - Knarkebovägen
- Punkt 3 - Nysätersvägen
- Punkt 4 - Torgvägen
- Punkt 5 - Kasernvägen
- Punkt 6A - Broängsvägen
- Punkt 6B - Broängsvägen
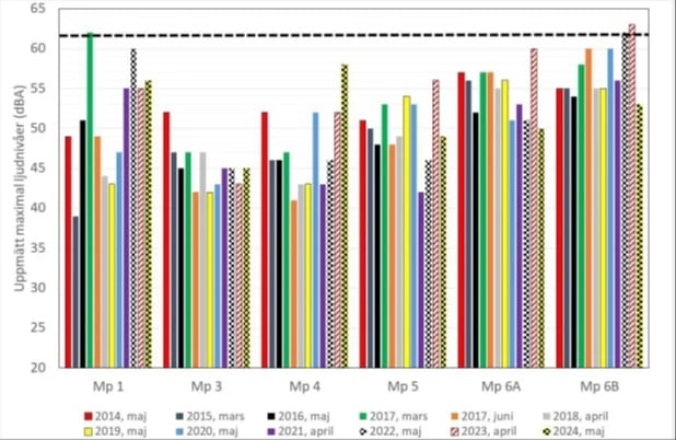
Vilka bullernivåer som gäller styrs av verksamhetens tillståndsgivna villkor. Villkoren anger gränsvärdet för momentana ljud nattetid och de genomsnittliga (över en viss period) maxnivåerna för ekvivalenta ljud under dagtid, kvällstid och nattetid.
| Period | Ekvivalent dB(A) | Momentant dB(A) |
| Dagtid 07-18 | 55 | |
| Kvällstid 18-22 | 50 | |
| Nattetid 22-07 | 44 | 62 |
Resultaten redovisas i våra årliga miljörapporter och till tillsynsmyndigheten. Nedan hittar du bullermätningarna för de senaste 11 åren.
Uppmätta ekvivalenta ljudnivåer 2014 till 2024

Uppmätta maximala ljudnivåer 2014 till 2024
